Kumpulan Soal Deret Fourier
Ditulis Minggu 17 Februari 2019 Tulis Komentar. Sin 2 sin l 2 ae 1 e 1 e x ae a j 2 l 1 j 1 jl n 0 j n z z z z z z z.
Contoh soal 7 8 tentukan transformasi fourier dari sinyal diskrit.
Kumpulan soal deret fourier. Contoh soal dan jawaban transformasi fourier. Contoh Soal Deret Fourier Dan Pembahasannya. Contoh.
Deret Dan Transformasi Fourier Majalah 1000guru. Kumpulan contoh soal deret fourier dan penyelesaiannya. Admin mengumpulkan informasi kumpulan contoh soal deret fourier dan penyelesaiannyal mata kuliah.
Dengan pembahasan soal ini diharapkan dapat membantu murid dalam memahami konsep dan rumus barisan dan deret aritmatika. Kuliah Pdp2 Contoh Soal Deret Fourier Deret Fourier Pembahasan Soal Deret Fourier1 Integral Dan Transformasi Fourier Penjelasan Deret Fourier Fourier Seriesderet Fourier Contoh Soal Dan Cara Penyelesaiannya. Bab Viii Persamaan Diferensial Parsial.
Retno Fatin Amanah 2007121465 3. Contoh Soal Deret Taylor Kumpulan Soal Pelajaran 6. Informasi mengenai Contoh Soal Deret Fourier Dan Penyelesaiannya.
Neti Okmayanti 2007121460 2. Lengkap disertai gambar Contoh Soal Deret Fourier Dan Pembahasannya. Kumpulan contoh soal deret fourier dan penyelesaiannya.
Fungsi sin x mempunyai periode 2π 4π 6π karena sin. Transformasi kontinu 1 dimensi transformasi diskrit 1 dimensi transformasi fourier kotinyu transformasi fourier kotinyu adalah sebuah sinyal waktu sebagai hasil penjumlahan beberapa. Deret Fourier Sinus Dan Cosinus Ppt Download.
Belajar Matematika 11 Deret Fourier 1. Seri Matematika Populer Deret Fourier I Made Ariana. Digunakan dalam perhitungan atau pendekatan nilai fungsi yang tidak bisa dihitung.
Deret Fourier Sinus Dan Cosinus Ppt Download. Deret Fourier Sinus Dan Cosinus Ppt Download. Transformasi fourier diskrit 1.
04 Deret Fourier Gt. Tentukan f x adalah suatu fungsi dari suatu variabel real x fungsi ini bersifat periodik dengan lebar periode 2π sehingga f x2πf x untuk setiap bilangan real x. 23 transformasi fourier 1 dimensi transformasi fourier 1 dimensi ada 2 yaitu.
04 Deret Fourier Gt. Diperhatikan bahwa fungsi ini adalah ganjil dimana 2L 10 lihat gambar. Carilah deret Fourier untuk fungsi dan diluar interval ini -55 dilakukan periodisasi dengan periode 10dengan periode 10.
Admin blog Dapatkan Contoh 2019 juga mengumpulkan gambar-gambar lainnya terkait contoh soal deret fourier matematika teknik 2 dibawah ini. Contoh Soal Deret Fourier. DERET FOURIER Oleh.
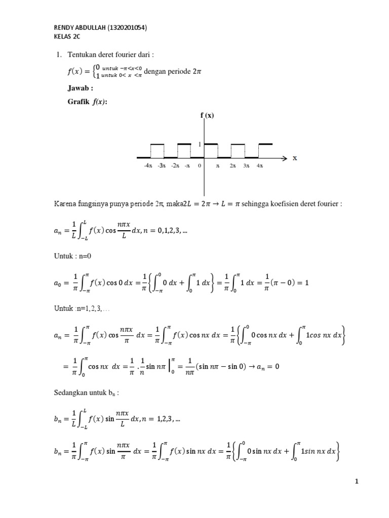
Deret Fourier fFungsi Periodik Suatu fungsi f x dikatakan mempunyai periode T atau periodik dengan periode T jika untuk setiap x berlaku f xTf x dimana Tkonstanta positif. Deret Dan Transformasi Fourier Majalah 1000guru. Tentukan deret Fourier dari fungsi fx yang didefinisikan sebagai.
Maka deret Fourier 4-1 dengan koefisien 4-2 dan 4-3 atau 4-4 dan 4-5 konvergen ke. 12 transformasi fourier 121 transformasi fourier untuk isyarat kontinyu sebagaimana pada uraian tentang deret fourier fungsi periodis yang memenuhi persamaan 1 dapat dinyatakan dengan superposisi fungsi sinus dan kosinus. Kumpulan contoh soal uts sdmi lengkap tahun ajar 20162017 semua pelajaran.
Kumpulan contoh soal deret fourier dan penyelesaiannya. 04 Deret Fourier Gt. Nilai positif terkecil T dinamakan periode terkecil atau disingkat periode f x.
D d 0 n lainnya a 0 n l 1 x n jawab. Dengan pembahasan soal ini diharapkan dapat membantu murid dalam memahami konsep dan rumus barisan dan deret aritmatika. Kita mulai dengan bentuk bentuk eksponensial deret fourier.
Tutorial How To Visualize Of Fourier Series Expansion Using Matlab For Beginner. Di luar interval ini fx periodik dengan perioda 2 π 5. Tentunya soal soal tersebut akan diberikan ketika kita sudah memahami tentang dasar dasar barisan dan deret geometri.
Kel 7 Transformasi Dan Invers Fourierpptx Transformasi Dan Invers. Kita akan mencoba menulis fungsi tersebut sebagai suatu jumlah tak hingga atau sebagai deret dari fungsi-fungsi periodik 2π yang. Lihat contoh kegunaan deret taylor disini.
Feri Febriansyha 2007121458 Kelas. Deret Fourier Part 1.

Deret Fourier Sinus Dan Cosinus Ppt Download
Contoh Soal Dan Contoh Pidato Lengkap Contoh Soal Deret Fourier
Contoh Soal Dan Contoh Pidato Lengkap Contoh Soal Deret Fourier

Contoh Soal Deret Fourier Dan Pembahasannya Contoh Soal Terbaru

Contoh Soal Dan Contoh Pidato Lengkap Contoh Soal Deret Fourier
Deret Fourier Deret Taylor Ganeshwicaksono Blog

Deret Fourier Dan Transformasi Fourier Ppt Download
Contoh Soal Transformasi Fourier Dan Penyelesaiannya Bagikan Contoh

Contoh Soal Deret Fourier Dan Pembahasannya Contoh Soal Terbaru

Fourier Soal Dan Penyelesaian Lat 1

Deret Fourier Fourier Series Amateur Physicist

Fourier Soal Dan Penyelesaian Lat 1

Contoh Soal Dan Contoh Pidato Lengkap Contoh Soal Deret Fourier






Posting Komentar untuk "Kumpulan Soal Deret Fourier"